应用物理系动量驰豫简单模型下全息热化测量研究取得进展
近期,太阳成集团122ccvip应用物理系李永壮老师在动量驰豫简单模型下全息热化的测量研究方面取得进展,相关论文成果发表在老牌物理学期刊Nuclear Physics B 956 (2020) 115043(物理学2区).
AdS/CFT对偶理论为强耦合场和经典引力理论的动力学之间的映射提供了非常深刻的见解,也为量子场论和引力理论的统一提供了一条可行的道路,因此近十年了其得到了非常迅速的发展。
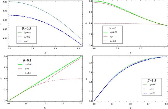
文中利用全息对偶理论研究了四维爱因斯坦-麦克斯韦-轴子引力理论中的全息热化过程。这种引力理论一般认为是带有动量驰豫边界共形场的一种简单对偶引力。简化起见,在边界场上选取一个圆形区域,并利用该圆形区域所对偶的等时两点函数和纠缠熵探测了热化的过程。热化的过程可以用体空间中一个无厚度有质量的球壳“下落”过程来代表。并详细分析了动量驰豫在热化过程中的效应,发现动量驰豫会引起更长的热化时间。这和体空间扰动准正则频率偏离零模式的特性一致。

图1:(上)相同圆半径(R=0.5,2)下超曲面顶点z*和耦合常数在不同时间点的关系。(下)相同耦合常数下圆半径和超曲面顶点在不同时间点的关系。其中红色实线弯折点代表了球壳所在位置。
考虑到体空间扰动的衰退确实全息地描述了对偶场理论中趋向热平衡的过程,因此我们的结论进一步验证了早期文献中的结论,同时也为如何利用场论的观点解释相关特性提供了一定的支持。
论文相关工作受到太阳成集团博士科研启动经费资助。
论文链接:https://doi.org/10.1016/j.nuclphysb.2020.115043