马永富博士在《Applied Physics Letters》发表钙钛矿室温激子磁场效应研究成果
近日太阳成集团122ccvip应用光学研究中心的马永富博士与华中科技大学韩一波教授合作在钙钛矿室温激子磁场效应方面取得研究进展,在国际知名物理期刊《Applied Physics Letters》(中科院物理大类2区,自然指数期刊,影响因子4.0)上发表研究论文《Enhanced room-temperature magnetic field effect on spin-polarized excitons of cesium lead bromine-magnetite》(DOI:10.1063/5.0190303),论文第一作者为马永富老师,华中科技大学韩一波教授为通讯作者,太阳成集团为第一署名单位。
自旋极化电子的产生和操作是自旋电子学应用的基础。从铁磁表面或异质结到半导体邻近层的自旋注入通常用于创建自旋极化载流子;然而,对于卤化物钙钛矿来说,由于晶格参数与大多数铁磁体在室温下不匹配,这种自旋注入具有一定的挑战性。

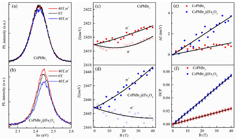
图1. CsPbBr3和CsPbBr3@Fe3O4纳米晶在室温下的磁光谱
本论文对Fe3O4磁性纳米颗粒包裹的全无机钙钛矿CsPbBr3的磁光谱进行了系统研究。结果表明,该纳米复合材料在室温下具有磁化和磁场诱导的圆极化光致发光特性。其中,Fe3O4纳米颗粒紧密附着在CsPbBr3纳米晶体表面后,其圆极化度和g因子均比纯CsPbBr3提高了3.5倍。这种现象是由于在外加磁场中,磁性排列的纳米颗粒与宿主半导体的激子态耦合形成了激子磁极化子。在自旋电子应用方面,有效的自旋注入为控制全无机卤化物钙钛矿的激子自旋极化提供了一种有效的方法。
相关工作得到了国家自然科学基金(批准号:11974126)和国家重点研发计划(批准号:2022YFA1602702)等项目资助。
论文链接:https://doi.org/10.1063/5.0190303